Bilangan Rasional dan Irasional: Contoh, Rumus, & Operasi Bilangan

Pelajari bilangan rasional dan irasional, mulai dari pengertian, ciri-ciri, hingga contoh lengkapnya agar kamu lebih paham!
—
Kita sudah mengetahui banyak jenis bilangan dalam matematika, seperti bilangan asli, cacah, dan lain-lain. Namun, ternyata ada juga bilangan rasional. Nah, apa itu bilangan rasional? Dalam matematika, bilangan ini memegang peran penting karena menjadi dasar dari banyak konsep perhitungan.
Dengan memahami bilangan rasional, kamu akan lebih mudah mengenali hubungan antarangka dalam bentuk pecahan, desimal, dan bilangan bulat. Menariknya, di samping bilangan rasional, ada pula kelompok bilangan yang berbeda sifatnya, yaitu bilangan irasional.
Melalui artikel ini, kamu akan mempelajari pengertian serta contoh bilangan rasional dan irasional agar bisa membedakannya dengan mudah dan memahami bagaimana keduanya digunakan dalam kehidupan sehari-hari.
Pengertian Bilangan Rasional
Bilangan rasional adalah bilangan yang dapat dinyatakan dalam bentuk pecahan 
, di mana a dan b adalah bilangan bulat serta 
.
Dengan kata lain, bilangan rasional adalah semua bilangan yang bisa ditulis sebagai hasil bagi dua bilangan bulat.
Contoh bilangan rasional:
- Pecahan biasa: ½, ⅔ , dan lain-lain
 - Bilangan bulat: –1, 0, 4
 - Desimal: 0,2
 - Desimal dengan pola berulang: 0,333
 
Rumus bilangan rasional secara umum ialah , dengan ketentuan:
“a dan b adalah bilangan bulat”
Artinya, bilangan rasional adalah bilangan yang bisa dituliskan sebagai pecahan antara dua bilangan bulat, di mana penyebutnya tidak boleh nol.
Contoh soal bilangan rasional:
- 0,5 = ½
 - 5 = 5/1
 - 0,75 = ¾
 
Baca juga: Mengenal Bilangan Prima, Contoh, Rumus, dan Cara Mencarinya
Operasi Bilangan Rasional
Operasi bilangan rasional meliputi penjumlahan, pengurangan, perkalian, dan pembagian. Berikut penjelasan dan rumus operasinya:
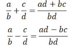
1. Penjumlahan dan Pengurangan
Untuk bilangan rasional 
, operasi penjumlahan dan pengurangan dilakukan dengan menyamakan penyebut terlebih dahulu:

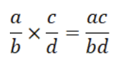
2. Perkalian
Perkalian bilangan rasional cukup dengan mengalikan pembilang dan penyebut:
 
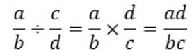
3. Pembagian
Pembagian bilangan rasional dengan 
dilakukan dengan  mengalikan bilangan pertama dengan kebalikan bilangan kedua:
![]()
Pengertian Bilangan Irasional
Bilangan irasional adalah bilangan yang tidak dapat dinyatakan sebagai pecahan 
, dengan a dan b bilangan bulat serta 
. Artinya, bilangan irasional tidak bisa ditulis sebagai hasil bagi dua bilangan bulat, dan jika ditulis dalam bentuk desimal, hasilnya tidak berhenti dan tidak berulang secara teratur.
Contoh bilangan irasional:

Ciri-Ciri Bilangan Irasional
- Tidak dapat ditulis sebagai pecahan.
 - Bentuk desimalnya tidak berhenti dan tidak berulang.
 - Tidak termasuk bilangan bulat, pecahan, maupun bilangan rasional lainnya.
 
Perbedaan Bilangan Rasional dan Irasional
Supaya lebih jelas, simak perbedaan bilangan rasional dan irasional berikut.
| Bilangan Rasional | Bilangan Irasional | 
| Bisa berbentuk pecahan | Tidak bisa berbentuk pecahan | 
| Teratur (pola berhenti atau berulang) | Tidak teratur dan tidak berulang | 
| Bisa berupa desimal yang berhenti atau berulang pola tertentu | Desimal yang tidak berhenti dan tidak memiliki pola pengulangan | 
Baca juga: Pengertian Bilangan Asli, Jenis, Sifat, dan Contohnya
—
Nah, kini pengetahuanmu di matematika bertambah setelah belajar bilangan rasional dan irasional. Namun, kamu tahu, tidak, matematika tidak hanya tentang angka, lho! Tetapi juga tentang cara berpikir logis dan sistematis. Yuk, perkaya pengetahuan matematikamu dengan bergabung bersama Alta Global School by Ruangguru!
Alta Global School menyediakan sistem blended learning, gabungan pembelajaran daring dan luring, mulai dari preschool sampai high school, dengan Champions Curriculum yang menggabungkan kurikulum internasional dan nasional. Yuk, daftar sekarang juga!
Masih ragu? Coba kelas gratisnya dengan isi data di bawah ini!
Want the Best for Your Child?
                  
We are Here to help!
                  Get free consultation and discover a hybrid international-standard learning experience for your child. Fill out the form now!
                  
                  
        
 
 